Hiver 2019 - Parution fin Février 2020
D’où est venu à S. Freud ce désir de concevoir très sérieusement Le Witz dans sa relation avec l’inconscient ? L’après-coup qui nous a conduit à délaisser l’intitulé de ces journées « Faire Witz » tient au titre même de l’oeuvre freudienne « Le Witz », séduisant par son urgence, mais porteur d’un paradoxe fondateur…
Ce désir lui est sans doute venu d’une « autre scène », directement impliquée dans ce « mot d’esprit », qui n’était avant lui que « bel esprit », pour devenir une formation de l’inconscient au même titre que le rêve ou l’acte manqué. En effet, on dit « faire un mot d’esprit », mais l’intentionnalité latente et l’anticipation supposée du transitif « faire » sont incompatibles avec la surprise et la fulgurance du Witz freudien. On ne « fait » pas un Witz, il « se fait » à l’insu de qui l’énonce, et à l’adresse de qui veut bien l’entendre.
Il s’origine donc dans un lieu « Autre », qui justifie ici pleinement sa définition lacanienne de « trésor du signifiant » ; dont le trait traverse un locuteur/passeur, surpris par l’effet qu’il suscite chez un auditeur que « l’inouï » de la trouvaille articulée peut – par le gain rieur du non-sens soulevé mis en jeu par un tiers –, stupéfier et illuminer.
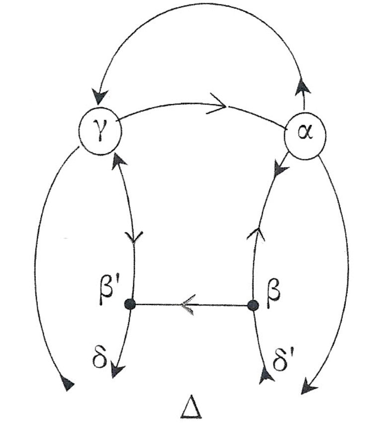
Pour Lacan, le grand Autre dit : « Ceci est le trait d’esprit ». Par la métaphore de la flèche qu’il évoque, il spécifie la vitesse et la précision de ce qui arrive, au bon moment et au bon endroit, et nous met dans le rapport le plus direct avec l’inconscient freudien.
Ce que Lacan authentifie, pour sa part, cinquante ans plus tard : « C’est ainsi que j’ai fait bailler trois mois, à en décrocher le lustre dont je croyais l’avoir une fois pour toutes éclairé, mon auditoire, à lui démontrer dans le Witz de Freud l’articulation même de l’inconscient ». Witz dont traite abondamment Lacan dans son séminaire 1957-58, livre V, Les formations de l’inconscient.
Existe-t-il meilleure illustration signifiante du trait d’esprit, que le trait qu’en donne Lacan dans le schéma du chapitre I de ce même séminaire.
Gabriel BALBO – Pierre FESSELET
Le mot d’esprit est une formation de l’inconscient à part entière au même titre que le rêve ou l’oubli. Il doit cependant être distingué du lapsus, du symptôme et de la sublimation. De plus, ses rapports avec l’interprétation analytique doivent être précisés.
Comment Fumaroli devint Fumardi, une histoire de Witz, dans un après-coup de vingt ans.
Vienne, cette ville fascinante, transformée, transportée par un renouveau culturel et artistique, une société en pleine mutation, inspira Freud. Au gré des rencontres, en observant, écoutant le bonheur des uns, les souffrances des autres, il s’en inspira et lui permit d’étudier la richesse de leur « patrimoine » respectif. Vienne, de langue allemande, langue qui aida Freud à structurer sa pensée analytique comme le dira plus tard Georges-Arthur Goldschmidt, traducteur de l’oeuvre de Freud. C’est d’ailleurs à Vienne que Freud utilisa pour la première fois le terme « psycho-analyse ».
Une recherche à la lettre aime…
Le jeune sujet se prête-t-il à la production de traits d’esprit ? Telle est la question qui s’est déployée dans notre cartel, partant de la clinique de l’enfant et nous renvoyant à la lecture des théories freudienne et lacanienne du Witz. Que nous enseignent les enfants à ce sujet ?
Que représente le signifiant l’infantilt auprès du signifiant Witz ?
Gabriel Balbo invente une technique inédite : le psychodrame psychanalytique individuel en groupe. Aucune autre pratique ne permet aujourd’hui de laisser surgir pour les jouer, les signifiants. Le jeu psychodramatique tout comme le Witz permet de perdre le sens convenu pour en gagner un nouveau. Les maudits mots dits joués pour s’en déjouer: rien de plus witzig !
Comment un Witz, énonciateur d’une vérité jusqu’alors ignorée, dévoile-t-il une autre perception d’un événement ? Comment son interprétation et son analyse permettent-elles un au-delà de la souffrance ?
Le Witz comme substantifique moelle du désir inconscient de l’analysant mais aussi de l’analyste.
Autrement dit : pour « moi », le mot d’esprit vient de l’Autre et m’en dit (à moi, à mon moi) quelque chose de mon inconscient, à condition que je l’entende, le relève et éventuellement le reprenne dans ce qui fera Witz, trait d’esprit pour les autres qui sont là, avec leur Autre à eux, et si possible de la même chapelle que moi, pour que nous puissions en rire ensemble, dans une communauté d’esprit un instant consolidée.
Qu’aurait été ce travail de cartel sans le « R » de « estrompé » ?
Une lettre surgit de la bouche de l’analyste et le pas de côté devient possible pour le patient.
Nous nous sommes intéressée à la dimension sociale du mot d’esprit, et à ce qu’il témoignait d’un instant fugace de désaliénation par rapport au grand Autre, c’est-à-dire d’un moment exquis de subjectivité.
Ce qui se dit de la sublimation dans la rencontre analyste-analysant au détour du mot d’esprit comme invention dans le travail, comme perlaboration, comme création qui conduit chacun des deux acteurs à poursuivre leur destin réciproque, l’un à l’écoute et l’autre se parlant. Le travail toujours en cours remettant sans cesse en question tout ce qui ne cesse pas de ne pas s’écrire.
À partir de la lecture du livre de Freud sur le mot d’esprit, de l’étude du séminaire de Lacan sur les formations de l’inconscient, le cartel s’est questionné, a cheminé autour du Witz, de l’interprétation, de la surprise en s’appuyant sur des textes d’Hugues Zysman, de Carolina Koretzki, de Theodor Reik, de la revue Apertura sur le Witz. Finalement, la surprise, eh bien, c’est de nous apercevoir que parler du Witz autrement qu’en termes savants ou universitaires mais de notre place de praticien et d’analysant, en nous référant à nos expériences respectives, ça change notre façon d’appréhender le savoir. C’est de ce changement que les différentes interventions des membres de ce cartel essayent de rendre compte.
L’essence même de la sublimation serait-elle contenue toute entière dans la dimension mythopoétique du langage ? Ainsi le mot d’esprit en constituerait-il un instant partagé. Un instant de dévoilement de l’Autre désubjectivé en tant que lieu ? La dimension de création pure inhérente au langage tissée depuis l’interdit et face à sa propre mort.
Il s’agit de traiter non pas du mot d’esprit mais de l’expression figurée citée dans mon article en langue italienne et en langue française. Cet effet de langage peut faire signifiant dans le discours de l’analysant et s’entendre lors d’une séance analytique. L’inconscient est structuré comme un langage, disait Jacques Lacan, pour autant, on peut aussi commencer par entendre cet effet du langage qu’est justement l’expression au sens figuré et qui peut faire segment dans la chaîne signifiante.